English
全部
搜索
图片
视频
短视频
地图
资讯
更多
购物
航班
旅游
笔记本
报告不当内容
请选择下列任一选项。
无关
低俗内容
成人
儿童性侵犯
时长
全部
短(小于 5 分钟)
中(5-20 分钟)
长(大于 20 分钟)
日期
全部
过去 24 小时
过去一周
过去一个月
去年
清晰度
全部
低于 360p
360p 或更高
480p 或更高
720p 或更高
1080p 或更高
源
全部
Dailymotion
Vimeo
Metacafe
Hulu
VEVO
Myspace
MTV
CBS
Fox
CNN
MSN
价格
全部
免费
付费
清除筛选条件
安全搜索:
中等
严格
中等(默认)
关闭
筛选器
askfilo.com
An astronomical telescope has an angular magnification of -184 ... | Filo
An astronomical telescope has an angular magnification of -184 ... | Filo
10 个月之前
短视频
1:15
已浏览 646 次
Physics' BIGGEST Mystery The Origin of Dark Stuff #quantumphysics
Nova Lab Discovery
0:33
已浏览 63 次
Angular Magnification
ACAD LEARNING
Telescope Magnification Explained
Galileo and the telescope
explainingscience.org
2018年3月13日
How to Determine Which Eyepieces to Use with Your Telescope
celestron.com
2020年7月30日
8:38
Rifle Scope Basics
YouTube
Cyclops Videos Joe W Rhea
已浏览 44.5万 次
2021年1月9日
热门视频
The angular magnification of the telescope.... | Filo
askfilo.com
已浏览 5528 次
2024年2月27日
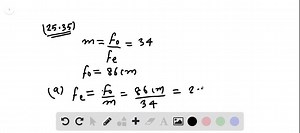
SOLVED:Suppose an astronomical telescope is being designed to have an angular magnification of 34.0. If the focal length of the objective lens being used is 86.0 cm, find (a) the required focal length of the eyepiece and (b) the distance between the two lenses for a relaxed eye. Hint: For a relaxed eye, the image formed by the objective lens is at the focal point of the eyepiece.
numerade.com
4 个月之前
A Giant Refracting Telescope Has an Objective Lens of Focal Length 15 m. If an Eye Piece of Focal Length 1.0 cm is Used, What is the Angular Magnification of the Telescope ? - Physics | Shaalaa.com
shaalaa.com
2024年9月16日
Telescope Basics for Beginners
Telescope Basics for Complete Beginners
eyesonthesky.com
2020年12月27日
1:37
Celestron Travel Scope 70 Portable Refractor Telescope – 70mm Aperture, Fully-Coated Glass Optics – Includes Tripod, Backpack & Software – Ideal for Beginners & Travel
amazon
2009年2月19日
How to Use a Telescope
wikiHow
已浏览 37.8万 次
2025年2月24日
The angular magnification of the telescope.... | Filo
已浏览 5528 次
2024年2月27日
askfilo.com
SOLVED:Suppose an astronomical telescope is being designed to ha
…
4 个月之前
numerade.com
A Giant Refracting Telescope Has an Objective Lens of Focal Lengt
…
2024年9月16日
shaalaa.com
How To Increase Magnification Of A Telescope [What To Do]
2019年6月11日
astronomyscope.com
How To Calculate Magnification On A Light Microscope - Sciencing
2024年11月9日
sciencing.com
0:45
Nocs Provisions Zoom Tube 8x32 Monocular, 8X Magnification Teles
…
9 个月之前
amazon
SOLVED:A reflecting telescope (Fig. E34.67) is to be made by using a s
…
3 个月之前
numerade.com
How to Calculate the Magnification of a Concave Mirror | Physics | Stu
…
2021年11月13日
study.com
How to Calculate the Magnification of a Convex Mirror | Physics | Stu
…
2021年11月8日
study.com
Answered: A small telescope has a concave mirror with a 2.10 m radiu
…
2021年4月26日
bartleby.com
0:32
Svbony SV45 Zoom Monoculars 10-30x50 BAK4 Prism FMC IPx7 Wate
…
1 个月前
YouTube
WolfSANZ
17:23
Master the Concept of Telescope with Question Practice in 15 minut
…
已浏览 270 次
1 周前
YouTube
Physics Orbit +
0:25
How a telescope actually forms an image
已浏览 79 次
1 周前
YouTube
Physics Performance Lab | Fariz Siddiqui
0:14
NASA, SpaceX, DARPA The Race for Quantum Tech #theoreticalphysic
…
已浏览 1259 次
1 个月前
YouTube
Nova Lab Discovery
An astronomical telescope has an angular magnification of magnitud
…
2022年9月18日
toppr.com
3 Visual angle | Angular Magnification | Optical instrument
…
已浏览 4.1万 次
2020年7月18日
YouTube
Mohit Tyagi
11:41
ANGULAR MAGNIFICATION AND SIMPLE MICROSCOPE PHYSICS
…
已浏览 1.2万 次
2020年4月11日
YouTube
ehtisham tariq WMSC Peshawar
4:19
COMPOUND MICROSCOPE
已浏览 27万 次
2014年4月16日
YouTube
7activestudio
4:31
Numerical Aperture
已浏览 9.6万 次
2018年11月28日
YouTube
Microcourses
7:22
The Astronomical Telescope
已浏览 19.2万 次
2014年7月8日
YouTube
QuantumBoffin
14:15
Small Angle Formula Practice
已浏览 2.4万 次
2019年11月21日
YouTube
AVH Astronomy
1:55
Calculating total magnification
已浏览 1.8万 次
2015年11月8日
YouTube
Paul Scott
10:43
The Small Angle Formula
已浏览 2.1万 次
2019年11月21日
YouTube
AVH Astronomy
2:34
How To Calculate Telescope Magnification
已浏览 11.5万 次
2016年11月18日
YouTube
Celestron
2:37
How to calculate magnification
已浏览 30万 次
2016年5月21日
YouTube
Science Sauce
8:34
Calculating magnification. Microscope calculations
已浏览 4.4万 次
2020年6月23日
YouTube
Mrs Sykes
7:49
Calculating Magnification for a Lens
已浏览 5282 次
2014年4月24日
YouTube
Physics by Discovery
9:56
Magnification formula for lenses
已浏览 1.4万 次
2018年8月28日
YouTube
Khan Academy India - English
6:30
Magnifying power of telescope | Class 12 (India) | Physics | Khan A
…
已浏览 5.5万 次
2018年5月14日
YouTube
Khan Academy India - English
观看更多视频
更多类似内容
反馈