English
全部
搜索
图片
视频
短视频
地图
资讯
更多
购物
航班
旅游
笔记本
报告不当内容
请选择下列任一选项。
无关
低俗内容
成人
儿童性侵犯
时长
全部
短(小于 5 分钟)
中(5-20 分钟)
长(大于 20 分钟)
日期
全部
过去 24 小时
过去一周
过去一个月
去年
清晰度
全部
低于 360p
360p 或更高
480p 或更高
720p 或更高
1080p 或更高
源
全部
Dailymotion
Vimeo
Metacafe
Hulu
VEVO
Myspace
MTV
CBS
Fox
CNN
MSN
价格
全部
免费
付费
清除筛选条件
安全搜索:
中等
严格
中等(默认)
关闭
筛选器
How to Solve a Radical Equation | Algebra | Study.com
2021年4月25日
study.com
5:59
Solve Radical Equations
2 个月之前
YouTube
M Haw
0:42
Struggling with radical equations? 😅 Watch how we solve this cubic root equation in seconds! No calculator needed—just pure algebra magic. 🧮✨ #Math #Algebra #RadicalEquations #CubicRoot #MathTricks #LearnMath #EquationSolving #MathHelp #StudyTips #MathHack
已浏览 846 次
2 个月之前
TikTok
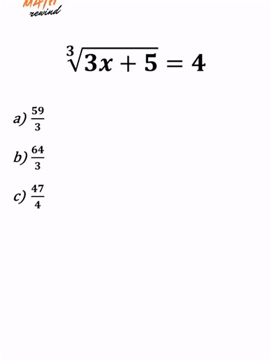
mathrewind
0:38
Can you solve it? 😎 A cubic root equation that looks tricky but has a beautiful solution! Think you know exponents and radicals? Let's see! 🤔 Drop your answer in the comments! ⬇️ #math #algebra #cubicroot #exponents #radicals
已浏览 1377 次
2 个月之前
TikTok
mathrewind
8:52
Olympiad Question | Solve the Radical Equation with Cube and Square Roots | Math Olympiad Training
已浏览 6.4万 次
2022年5月21日
YouTube
PreMath
10:59
Radical Equations
已浏览 6.8万 次
2020年1月1日
YouTube
The Organic Chemistry Tutor
17:11
Solving Radical Equations
已浏览 114.5万 次
2018年1月26日
YouTube
The Organic Chemistry Tutor
5:49
Graphing Radical Functions
已浏览 10.8万 次
2020年1月20日
YouTube
Mario's Math Tutoring
2:38
Graphing Cube Root Functions | Algebra
已浏览 14.9万 次
2018年1月27日
YouTube
The Organic Chemistry Tutor
13:14
How To Simplify Radicals
已浏览 106.5万 次
2017年9月8日
YouTube
The Organic Chemistry Tutor
10:07
How To Solve Complex Radical Equations
已浏览 4.3万 次
2020年1月3日
YouTube
The Organic Chemistry Tutor
14:12
How To Simplify Cube Roots
已浏览 19.2万 次
2020年1月18日
YouTube
The Organic Chemistry Tutor
3:42
Simplifying Radicals Easy Method
已浏览 148.9万 次
2016年6月14日
YouTube
Mario's Math Tutoring
3:30
How To Solve A Rubik’s Cube | OFFICIAL TUTORIAL PART 4
已浏览 272.8万 次
2016年12月22日
YouTube
Rubik's
2:34
How To Solve A Rubik’s Cube | OFFICIAL TUTORIAL PART 1
已浏览 289.2万 次
2016年12月22日
YouTube
Rubik's
12:24
Solving Equations With Cube Roots
已浏览 4.1万 次
2020年1月15日
YouTube
The Organic Chemistry Tutor
2:00
How To Solve A Rubik’s Cube | OFFICIAL TUTORIAL PART 3
已浏览 202.6万 次
2016年12月22日
YouTube
Rubik's
10:55
How to Solve a 2x2 Rubik's Cube [Easy & Detailed] (v2)
已浏览 107.8万 次
2017年4月8日
YouTube
Z3Cubing
11:35
How to Solve the Rubix Cube
已浏览 34.5万 次
2021年3月1日
YouTube
QuadSquad
10:02
How To Solve A Rubik's Cube | Quick Solve Refresher
已浏览 8.4万 次
2020年7月20日
YouTube
Rubik's
3:39
How To Solve A Rubik’s Cube | OFFICIAL TUTORIAL PART 6
已浏览 259.6万 次
2016年12月22日
YouTube
Rubik's
3:32
Solving Cubic Equations (factoring)
已浏览 102.4万 次
2013年5月15日
YouTube
Maude Meeker
7:01
Solving Equations with Cubic Roots
已浏览 8486 次
2018年2月24日
YouTube
MrCaryMath
0:45
TI-84 Plus CE: How to Find the Cube Root
已浏览 14.3万 次
2018年12月26日
YouTube
CalcPlex
3:32
Solving equations with TI-Nspire (nSolve)
已浏览 23.7万 次
2015年5月13日
YouTube
Monica Clifton
10:17
Factoring Cubic Polynomials- Algebra 2 & Precalculus
已浏览 218.4万 次
2016年11月22日
YouTube
The Organic Chemistry Tutor
1:35
How To Solve A Rubik’s Cube | OFFICIAL TUTORIAL PART 2
已浏览 255.2万 次
2016年12月22日
YouTube
Rubik's
12:55
How to solve a Rubik’s cube | The Easiest tutorial | Part 1
已浏览 2262.8万 次
2020年2月8日
YouTube
CUBASTIC
10:52
How to Solve Advanced Cubic Equations: Step-by-Step Tutorial
已浏览 190.8万 次
2018年6月15日
YouTube
PreMath
15:40
How to Solve a 2x2 Rubik's Cube - New, Easier Method in HD
已浏览 106.2万 次
2018年4月21日
YouTube
Zman872
展开
更多类似内容
反馈